Ikuti Kami:
Hubungi Kami: 6285218755889
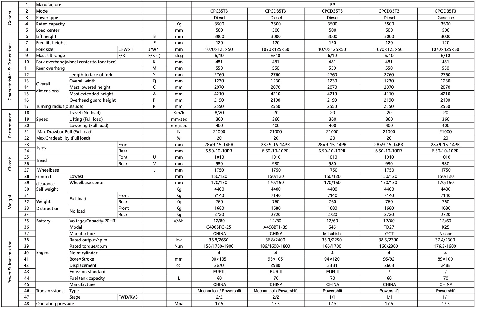
T3

Forklifts Diesel:

T3

Opsi Produk

20T3

Spesifikasi

20T3

25T3

30T3

35T3

Unduh Brosur
WhatsApp